Table of Contents

Human Power and Propulsion

Menu

Prev

Next

The Human Powerplant

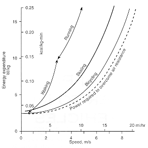
Human energy expenditure in various types of motion is illustrated in the diagram. It is seen that the bicycle represents a significant advantage in terms of energy use as compared to walking, running or skating at the same speed. In all cases the, energy requirement increases super-linearly with the increase in velocity. The curve showing the power required to overcome drag due to the air suggests that very little work is lost to the mechanical components of the bicycle. At 7 m/s, 86% of the energy expended by a cyclist is used to overcome the air resistance. For a skater at the same speed, the same air resistance accounts for only about 57% of the total energy used, the increase in total energy usage indicating the lower efficiency of this mode of travel.

Under steady state conditions, the energy use should correspond to energy production by the body, and this depends upon the rate of oxygen consumption by the body. This is known as the aerobic mode.

From: Abbott & Wilson, "Human-Powered Vehicles,"
Human Kinetics (1995)